বীজগণিতের সূত্র সমূহ

বীজগণিতের সূত্র সমূহ

এর আগে আমার প্রয়োজনীয় বীজগণিতের সূত্র সমূহ নিয়ে আলোচনা করেছি । ঔ আর্টিকেলে শুধু মাত্র Algebra - এর অংক করার সূত্র দেওয়া হয়েছে । আজকের আর্টকেলের আমরা যে সকল বীজগণিতের সূত্র সমূহ উল্লেখ করেছি । যেগুলোর মাধ্যমে বীজগণিতিক রাশি  , সূচক ও লগারিদম , সসীম ধারা সহ সকল বীজগণিত অংক করা যাবে । আজকের আর্টিকেলে বর্ণিত বীজগণিতের সূত্রাবলী  - র মাধ্যমে যে কোনো বীজগণিত অংক করা যাবে । শুধু তাই নয় এ সকল বীজগণিতের সূত্র সমূহ যে কোনো প্রতিযোগীতা মূলক পরীক্ষার জন্য খুবই গুরুত্বপূর্ণ । বীজগণিতের সূত্রাবলী প্রয়োগ করে যে কোনো অংক সহজেই সামাধান করা যায় । এছাড়াও বাস্তব জীবনের বিভিন্ন গাণিতিক সমস্যায় বীজগণিতের সূত্র সমূহ - এর প্রয়োগ রয়েছে ।

বীজগণিতের সূত্র সমূহ
বীজগণিতের সূত্র সমূহ

পাটিগণিতজ্যামিতি -র মাধ্যমে যে সমস্যার সমাধান দুঃসাধ্য বীজগণিতের সূত্র সমূহ ব্যবহার করে তা অনেক সহজ হয়ে যায় । তাই সকল শিক্ষার্থীদের বীজগণিতের সূত্রাবলী জানা অনেক গুরুত্বপূর্ণ । 

বীজগণিতীয় প্রতীক দ্বারা প্রকাশিত যেকোন সাধারণ নিয়ম বা সিদ্ধান্তকে বীজগণিতীয় সূত্র বলে । - বীজগণিতের সূত্র সমূহ

আর্টিকেল শেষে জানতে পারবেন

আরো পড়তে পারেন

মানুষ মৃত অবস্থা থেকে জেগে ওঠে কেন !

নবম - দশম শ্রেণির গণিত সৃজনশীল প্রশ্ন

বীজগণিতের বর্গের সূত্র

1. `\left(a+b\right)^2=a^2+2ab+b^2`

2. `\left(a+b\right)^2=(a-b)^2+4ab`

3. `\left(a-b\right)^2=a^2-2ab+b^2`

4. `\left(a-b\right)^2=(a+b)^2-4ab`

5. `a^2+b^2=(a+b)^2-2ab`

6. `a^2+b^2=(a-b)^2+2ab`

7. `a^2-b^2=(a+b)(a-b)`

8. `2(a^2+b^2)=(a+b)^2+(a-b)^2`

9. `ab=\left(\frac{a+b}2\right)^2-\left(\frac{a-b}2\right)^2`

10. `4ab=\left(a+b\right)^2-\left(a-b\right)^2`

11. `\left(a+b+c\right)^2=a^2+b^2+c^2+2(ab+bc+ca)`

12. `a^2+b^2+c^2=(a+b+c)^2-2(ab+bc+ca)`

13. `2\left(ab+bc+ca\right)=\left(a+b+c\right)^2-(a^2+b^2+c^2)`

14. `\left(a-b-c\right)^2=a^2+b^2+c^2-\left(ab+bc+ca\right)`

15. `(x+a)(x+b)=x^2+(a+b)x+ab`

16. `(x+a)(x-b)=x^2+(a-b)x-ab`

17. `(x-a)(x+b)=x^2-(a-b)x-ab`

18. `(x-a)(x-b)=x^2-(a+b)x+ab`

19. `(p+x)(q+x)=pq+(p+q)x+x^2`

20. `(p+x)(q+x)(r+x)=pqr+(pq+qr+rp)x+(p+q+r)x^2+x^3`

21. `(x+a)(x+b)(x+c)=x^3+(a+b+c)x^2+(ab+bc+ca)x+abc`

বীজগণিতের চক্র ক্রমিক সূত্র

1. `(a+b)(b+c)(c+a)+abc=(a+b+c)(ab+bc+ca)`

2.` (ab+bc+ca)(a+b+c)-abc=(a+b)(b+c)(c+a)`

3. `bc(b-c)+ca(c-a)+ab(a-b)=-(b-c)(c-a)(a-b)`

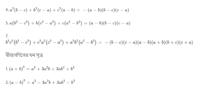
4. `a^2(b-c)+b^2(c-a)+c^2(a-b)=-(a-b)(b-c)(c-a)`

5. `a(b^2-c^2)+b(c^2-a^2)+c(a^2-b^2)=(a-b)(b-c)(c-a)`

7. `b^2c^2(b^2-c^2)+c^2a^2(c^2-a^2)+a^2b^2(a^2-b^2)=-(b-c)(c-a)(a-b)(a+b)(b+c)(c+a)`

বীজগণিতের ঘন সূত্র

1. `(a+b)^3=a^3+3a^2b+3ab^2+b^3`

2. `(a-b)^3=a^3-3a^2b+3ab^2-b^3`

3. `(a-b)^3=a^3-b^3-3ab(a-b)`

4. `(a+b)^3=a^3+b^3+3ab(a+b)`

5. `a^3+b^3=(a+b)(a^2-ab+b^2)`

6. `a^3+b^3=(a+b)^3-3ab(a+b)`

7. `a^3-b^3=(a-b)(a^2+ab+b^2)`

8. `a^3-b^3=(a-b)^3+3ab(a+b)`

9. `a^3+b^3+c^3-3abc=(a+b+c)(a^2+b^2+c^2-ab-bc-ca)`

10. `a^3+b^3+c^3-3abc=\frac1{2}(a+b+c)\{(a-b)^2+(b-c)^2+(c+a)^2\}`

11. `\left(a+b+c\right)^3=a^3+b^3+c^3+3(a+b)(b+c)(c+a)`

12. `(a-b)^3+(b-c)^3+(c-a)^3=3(a-b)(b-c)(c-a)`

সূচক ও লগারিদমের সূত্র

1. `a^m\times a^n=a^{m+n}`

2. `\frac{a^m}{a^n}=a^{m-n}`

3. `(ab)^n=a^ma^n`

4. `\left(\frac ab\right)^n=\frac{a^n}{b^n}`

5. `\sqrt[m]{a^n}=a^\frac n{m}`

6. `a^\frac n{m}=a\left(\frac1{m}\right)^n`

7. `a^{-m}=\frac1{a^m}`

8. `\sqrt a=a^\frac1{2}`

9. `a^0=1`

10. `a^1=a`

11. `\log_a(MN)=\log_aM+\log_aN`

12. `\log_a(M\div N)=\log_aM-\log_aN`

13. `\log_ax=n` হলে `x=a^n`

14. `\log_aM^n=n\log_aM`

 সমান্তর ধারার সূত্র

1. সমান্ত ধারার n তম পদ = a+(n-1)d

2. সমান্ত ধারার n সংখ্যক পদের সমস্টি `S_n=\frac n2\{2a+(n-1)d\}`

3. গুণোত্তর ধারার n তম পদ = `ar^{n-1}`

4. গুণোত্তর ধারার n সংখ্যক পদের সমস্টি `S_n=\frac{a(1-r^n)}{1-r}`

5.স্বাভাবিক সংখ্যার সমষ্টি = `\frac{n(n+1)}2`

6. বর্গের সমষ্টি = `\frac{n(n+1)(2n+1)}6`

7. ঘনের সমষ্টি = `{\frac{n(n+1)}2\}^2`

অফলাইনে অনুশীলন করার জন্য নিচের বীজগণিতের সূত্র সমূহ - এর ছবি ডাউনলোড করে নিতে পারেন। 

বীজগণিতের সূত্র সমূহ
বীজগণিতের সূত্র সমূহ
বীজগণিতের সূত্র সমূহ
বীজগণিতের সূত্র সমূহ
বীজগণিতের সূত্র সমূহ
বীজগণিতের সূত্র সমূহ
বীজগণিতের সূত্র সমূহ
বীজগণিতের সূত্রাবলী
বীজগণিতের সূত্রাবলী

বীজগণিতের সূত্রাবলী

বীজগণিতের সূত্রাবলী

বীজগণিতের সূত্র সমূহ
বীজগণিতের সূত্র সমূহ
ভুল ত্রুটি পরীলক্ষিত হলে কমেন্টের মাধ্যমে জনানোর অনুরোধ রইল । আশা করি ভালো লেগেছে। ভাল লাগলে বন্ধুদের সাথে শেয়ার করে তাদেরকেও জানার সুযোগ করে দিও । এ ধরনের আর্টিকেল পেতে আমাদের সাথে থাকুন ।
আরো পড়তে পারেন
জুয়েল

আমি বিশ্বাস করি শিক্ষা কোনো বাণিজ্যিক পণ্য নয়। শিক্ষা সকলের অধিকার। আসুন আমরা প্রত্যেক শিশুর স্বপ্ন জয়ের সারথি হই

একটি মন্তব্য পোস্ট করুন

নবীনতর পূর্বতন