৮ম শ্রেণির গণিত বীজগণিতীয় ভগ্নাংশ সৃজনশীল প্রশ্ন : অধ্যায় ৫

৮ম শ্রেণির বীজগণিত অংক

৮ম শ্রেণির গণিত সৃজনশীল প্রশ্ন ৭০ নম্বরে হয় এর মধ্যে বীজগণিত অংক হতে ৩টি প্রশ্ন থাকে । যার মধ্য থেকে ২টি প্রশ্নের উত্তর করতে হয় । ৮ম শ্রেণির গণিত বইয়ের ৪টি অধ্যায় চতুর্থ , পঞ্চম , ষষ্ঠ এবং সপ্তম অধ্যায় হলো অষ্টম শ্রেণির বীজগণিত অংক । এর মধ্যে আমাদের আজকের আয়োজন ৮ম শ্রেণির বীজগণিত ৫ম অধ্যায় : বীজগণিতীয় ভগ্নাংশ ।

আজকের আর্টিকেলে আমরা বিভিন্ন স্কুলের এবং জে এস সি পরীক্ষায় আসা বোর্ড প্রশ্ন গুলোর পুঙ্খানু পুঙ্খানু বিশ্লেষণ করে বীজগণিতীয় ভগ্নাংশের সৃজনশীল প্রশ্ন প্রণয়ন করেছি যার মধ্যে ৫ম অধ্যায়ের সকল নিয়ম অন্তর্ভূক্ত রয়েছে । এর ফলে বীজগণিতীয় ভগ্নাংশ অধ্যায় থেকে পরীক্ষায় যে কোনো প্রশ্ন আসলে পরীক্ষার্থীরা উত্তর করতে সক্ষম হবে।

বীজগণিতীয় ভগ্নাংশ
বীজগণিতীয় ভগ্নাংশ

এ অধ্যায়ের অংকগুলো করার জন্য অবশ্যই নিচের আর্টিকেল থেকে সূত্র গুলো জেনে নিবে।

এ অধ্য়ায় শেষে শিক্ষার্থীরা বীজগণিতীয় ভগ্নাংশের যোগ, বিয়োগ, গুণ ও ভাগ করতে পারবে এবং এতদসংক্রান্ত সরল ও বিভিন্ন সমস্যার সমাধান করতে পারবে ।

বীজগণিতীয় ভগ্নাংশ সৃজনশীল প্রশ্ন

1. `P=1-x+x^2` , `Q=1+x+x^2` এবং `R=1+x^2+x^4`

ক. R উৎপাদকে বিশ্লেষণ কর ।

খ. `\frac1P-\frac1Q-\frac{2x}R` এর মান নির্ণয় কর ।

গ. সরল কর : `\left(\frac1P+\frac1Q-\frac{2x}R\right)\times\frac Q{2x}`

2. `A=\frac{3x}{x^2+3x-4}` , `B=\frac{2x}{x^2-1}+\frac x{x^2+5x+4}` , `C=3a^2+a-10` , `D=a^3+8` , `E=2a^2+9a+10`

ক. `\frac{x^3-1}{x^3+x^2+x}` কে লঘিষ্ট কর ।

খ. সরল কর : A+B

গ. `\frac1{C},\frac1{D},\frac1{E}` কে সমহর ভগ্নাংশে প্রকাশ কর ।


3. `A=4x^2-9,B=2x^2-7x+6,C=x^3-1,D=x^3+1` এবং `E=1+x^2+x^4`

ক. উৎপাদকে বিশ্লেষণ কর : `x^3-8\left(x-y\right)^3`

খ. সরল কর : `\left(\frac1A+\frac1B\right)\div\frac{6x+2}{\left(4x^2-9\right)\left(x-2\right)}`

গ. গ. `\frac1{C},\frac1{D},\frac1{E}` কে সমহর ভগ্নাংশে প্রকাশ কর ।


4. `A=\frac{\left(a-b\right)^2+2ab}{\left(a-b\right)\left(a^2+ab+b^2\right)}` , `B=\frac{a^3+b^3}{\left(a+b\right)^3\left(a^2-b^2\right)}` এবং `C=\frac{a^3-b^3}{a^4-b^4}`

ক. `\left(\frac1{x}-\frac1{y}\right)\div\left(\frac1{y}-\frac1{x}\right)` এর মান নির্ণয় কর ।

খ. A, B, C কে সাধারণ হর বিশিষ্ট ভগ্নাংশে প্রকাশ কর ।

গ. প্রমাণ কর যে, `A\div B\times C=\frac{a^2+2ab+b^2}{a^2-ab+b^2}`


5. `P=\frac{a^4-b^4}{a^2+b^2-2ab},Q=\frac{\left(a+b\right)^2-4ab}{a^3-b^3},R=\frac{a+b}{a^2+ab+b^2}`

ক. উৎপাদকে বিশ্লেষণ কর : `x^2-x-\left(m-1\right)\left(m-2\right)`

খ. সরল কর : `\left[\frac{\left(a-b\right)}{a^2+b^2}\times P+\left(a^2+ab+b^2\times Q\right)\right]\frac1{2a}`

গ. দেখাও যে, `P\div\left[\left(a^2+b^2\right)\times R\right]\times Q=1`

আরো পড়তে পারেন

6. `A=\frac{\left(x-y\right)^2+4xy}{a^3-b^3-3ab\left(a-b\right)},B=\frac{x^3+y^3+3xy\left(x+y\right)}{\left(a+b\right)^2-4ab},C=\frac{2x}{x^2+6x+5}` এবং `D=\frac{2y}{x^3+125}`

ক. `\left(1+\frac2{x}\right)` কে `\left(1-\frac4{x^2}\right)` দ্বারা ভাগ কর ।

খ. সরল কর : `A\div B\times\frac{ab-b^2}{xy-y^2}`

গ. C ও D কে সমহর বিশিষ্ট ভগ্নাংশে প্রকাশ কর ।

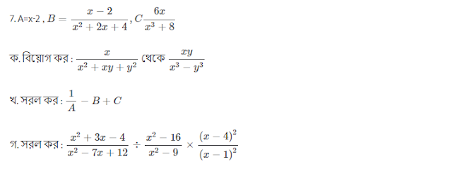
7. A=x-2 , `B=\frac{x-2}{x^2+2x+4},C\frac{6x}{x^3+8}`

ক. বিয়োগ কর : `\frac x{x^2+xy+y^2}` থেকে `\frac{xy}{x^3-y^3}`

খ. সরল কর : `\frac1{A}-B+C`

গ. সরল কর : `\frac{x^2+3x-4}{x^2-7x+12}\div\frac{x^2-16}{x^2-9}\times\frac{\left(x-4\right)^2}{\left(x-1\right)^2}`


8. `P=3x^2-16x-12,Q=3x^2+5x+2,R=3x^2-x-2`

ক. যোগ কর : `\frac1{a-2}+\frac{a+2}{a^2+2a+4}`

খ. Q=0 এবং x≠0 হলে `9x^2+\frac4{x^2}` এর মান নির্ণয় কর ।

গ. P, Q, R এর ল.সা.গু কর ।


9. `s=x+3,t=x-3,v=x^2-9`

ক. উৎপাদকে বিশ্লেষণ কর : `6p^2-p-1`

খ. সরল কর : `\frac x{s}+\frac x{t}+\frac{6x}{v}`

গ. `\frac s{x^2-6x+5},\frac t{x^2+2x-3}` এবং `\frac v{x^2-2x-15}` কে সমহর বিশিষ্ট ভগ্নাংশে রূপান্তর কর ।


10. `\frac{x^3-y^3}{\left(x-y\right)^2+3xy},\frac{\left(x+y\right)^2-3xy}{x^3-y^3},\frac{x+y}{x-y},\frac{x^3+y^3}{x^4+x^2y^2+y^4}`

ক. ৪র্থ রাশিকে লঘিষ্ঠ আকারে প্রকাশ কর ।

খ. ১ম রাশিকে ২য় রাশি দ্বারা গুণ করে গুণফলকে কত দ্বারা গুণ করলে গুণফল `x^3+y^3‌‌` হবে ?

গ. ১ম তিনটি রাশির গুণফলকে ৪র্থ রাশি দ্বারা ভাগ কর ।‌

অফলাইনে অনুশীলনের জন্য নিচ থেকে ৮ম শ্রেণির গণিত বীজগণিতীয় ভগ্নাংশ সৃজনশীল প্রশ্ন গুলোর ছবি ডাউনলোড করে নিতে পারো । 

বীজগণিতীয় ভগ্নাংশ
বীজগণিতীয় ভগ্নাংশ
বীজগণিতীয় ভগ্নাংশ
বীজগণিত অংক
বীজগণিত অংক
বীজগণিত অংক
৮ম শ্রেণির গণিত
৮ম শ্রেণির গণিত
৮ম শ্রেণির গণিত
৮ম শ্রেণির বীজগণিত
বীজগণিতীয় ভগ্নাংশ

আশা করি বীজগণিতীয় ভগ্নাংশ সৃজনশীল তোমাদের উপকারে আসবে । ভালো লাগলে বন্ধুদের সাথে শেয়ার করে তাদেরকেও জানার সুযোগ করে দিও । এছাড়াও আরো কোনো বিষয় জানার প্রয়োজন হলে আমাদের প্রশ্ন করতে পারো । আমার চেষ্টা করো শিঘ্রই তোমাদের প্রশ্নগুলোর উত্তর প্রদান করতে ।

আরো পড়তে পারো

জুয়েল

আমি বিশ্বাস করি শিক্ষা কোনো বাণিজ্যিক পণ্য নয়। শিক্ষা সকলের অধিকার। আসুন আমরা প্রত্যেক শিশুর স্বপ্ন জয়ের সারথি হই

7 মন্তব্যসমূহ

  1. অসাধারণ!

    তবে অন্যগুলোর মতো যদি pdf দিতেন তাহলে খুব উপকার হতো🙂।

    উত্তরমুছুন
  2. রিপ্লাই দেওয়ার জন্য ধন্যবাদ 🙂

    উত্তরমুছুন
  3. এই সৃজনশীল সমাধানটা দেওয়া যাবে

    উত্তরমুছুন
    উত্তরগুলি
    1. শীঘ্রই দেওয়ার চেষ্টা করবো। আমাদের সাথে থাকার জন্য ধন্যবাদ

      মুছুন
  4. স্যার ৫ম অধ্যায় সহ বাকি অধ্যায় গুলোর পিডিএফ দিলে উপকৃত হতাম!

    উত্তরমুছুন
  5. শীঘ্রই দেওয়ার চেষ্টা করবো। আমাদের সাথে থাকার জন্য ধন্যবাদ

    উত্তরমুছুন
নবীনতর পূর্বতন